Asymptotics and Fourier Expansions of the Sequence of Linear Factor of Polynomials Orthogonal with Gegenbauer-Sobolev Inner Product
DOI:
https://doi.org/10.63002/asrp.306.1110Keywords:
Gegenbauer–Sobolev type orthogonal polynomials, Gegenbauer orthogonal polynomials, Mehler-Heine type formula, Chebyshev polynomial, Fourier expansions, higher exponents, monic Gegenbauer orthogonal polynomial, Banach-Steinhaus theoremAbstract
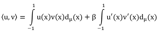
For monic polynomials orthogonal to the non-discrete Sobolev inner product, let
show the sequence of quadratic factors.
. Where
with
. Both Sobolev norms of
and a Mehler-Heine type formula with a strong asymptotic on are obtained. Additionally, we look for the necessary conditions for norm convergence and the reasons for the norm convergence of a Fourier expansion, specifically with regard to the Sobolev orthogonal polynomials.
Downloads
Published
06-11-2025
Issue
Section
Articles
License
Copyright (c) 2025 Abdalgadir Albushra, Musa Siddig, Amani Elseid, Abdelrehaman Mohamsd

This work is licensed under a Creative Commons Attribution 4.0 International License.